A) Bayesian Spatially Varying Coefficient (SVC) Model for LST



B) Bayesian SVC Model for SUHI



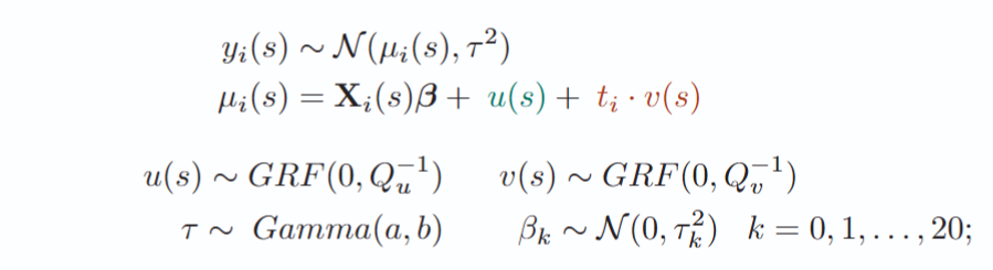
where
  • \( y_i(s) \) = LST at day \( i \) and pixel \( s \)

  • \( z_i(s) \) = SUHI at day \( i \) and pixel \( s \)

  • \( \mathbf{X}_i(s)\boldsymbol{\beta} \) = linear predictor for day \( i \) and pixel \( s \)

  • \( u(s) \) = spatially varying intercept (residual spatial effect)

  • \( t_i \cdot v(s) \) = spatially varying linear effect of time (long-term
    summer linear trend)

  • Spatially varying intercept and spatially varying linear effect of time modelled as latent Gaussian random fields using the SPDE
    (Stochastic Partial Differential Equation) approach
  • Posterior excursion sets at 95% probability for \( t_i \cdot v(s) > 0 \) and
    \( t_i \cdot v(s) < 0 \) to identify warming and cooling regions
  • Inference performed with INLA